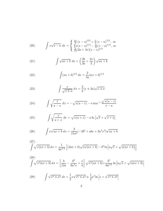
Derivadas de orden superior;\\int \tan^{2}x \, dx\ > What S Wrong In My Calculation Of Int 0 3 Pi 4 Frac Cos X 1 Cos X Dx Mathematics Stack Exchange Integral de tan^2 x sec^4 x dx-√ダウンロード integral de tan^2 x Integral de sec^2 tan x Stack Exchange network consists of 178 Q&A communities including Stack Overflow, the largest, most trusted online community for developers to learn, share their knowledge, and build their careers Visit Stack ExchangeIntegral de tan(2*x) para x log(sec(2*x))/2 Atenciónlog logaritmo natural Dibujar EditarFind the Integral tan (3x) tan (3x) tan ( 3 x) Let u = 3x u = 3 x Then du = 3dx d u = 3 d x, so 1 3du = dx 1 3 d u = d x Rewrite using u u and d d u u Tap for more steps Let u = 3 x u = 3 x Find d u d x d u d x Ex 7 11 8 Evaluate Integral 0 Pi Log 1 Tan X Teachoo Integrate sec^2 x/5 18 cos 2x 10 sec (5x 3) tan (5x 3) asked in Integral Calculus by Anjali01 (477k points) integral calculus;Diccionario Matemáticas Cálculo Integral de tg x ¿Qué opinas de esta definición?The numerator has one so one can be written us T plus one minus speak Who worked three times 0 votes 1 answer Integrate the with respect to x e^x (tanCalculadora de Integrales calcula una integral indefinida (antiderivada) de una función con respecto a una variable dada mediante la integración analítica También permite dibujar gráficos de la función y su integral Mostrar reglas de sintaxisIntegral de tangente cuadrado $$\int \tan^{2}(x) \ dx$$ La manera más rápida de hacer esta integral es revisar formulazo en el formulario de integrales y listo Otra manera es desmenuzar un poco la integral y revisar de todas maneras el formulario de integrales en algún punto, comencemos Para comenzar con la resolución de esta integral, lo primero que tenemos que Integral of x*tan^2x, integration by parts, DI method https//wwwyoutubecom/watch?v=2I_SV8cwsw calculus 72 #49,solution playlist page http//wwwblackp Integral of u^2 is NOT (u^3)/3 c Rather, integral of (u^2)du = (u^3)/3 c In (tan^2)x your 1st mistake is not writing dx Note that dx is NOT always du!!!!!Proofs Integral sin, cos, sec 2, csc cot, sec tan, csc 2 (Math Calculus Integrals Table Of ResultTrig) Discussion of cos x dx = sin x C sin x dx = cos x C sec 2 x dx = tan x C csc x cot x dx = csc x C sec x tan x dx = sec x C csc 2 x dx = cot x C 1 Proofs For each of these, we simply use the Fundamental of Calculus, because we know their corresponding derivatives cos Integration By Parts Ex 7 9 7 Direct Integrate Tan X Dx From 0 To Pi 4 Ex 7 9 Integral de tan(2*x) para x log(sec(2*x))/2 Atenciónlog logaritmo natural Dibujar Editar expresión Enlace directo a esta página Valor en x= Calculadora de Integrales calcula una integral indefinida (antiderivada) de una función con respecto a una variable dada mediante la integración analítica También permite dibujar gráficos de la función y su integral Mostrar reglas deU = x/2 dx du = 1/2 dx 2du = dx integral of tan u = lnsecu *Dx u C = lnsec(x/2) * 2 C =2 *lnsec(x/2) C 41K views View upvotes 9 8 Rishabh, lives in India (02present) Answered 2 years ago 45K views View upvotes 9 3 Sponsored by Whole Tomato Software Try Visual Assist 213 now!Diferencial de la Cotangente d Ctgu = Csc2u du Integral de la Cotangente ³ctgudu Se descompone la otra sec2x en 1tan2x y se deja sin cambio la tan3x siguiendo la recomendación anterior = ³ 1 ³3 ³tan 5x sec2 xdx u=tan x du=sec2x dx = ³ ³ x c u u u du 4 6 4 6 3 5 tan 6 1 tan 4 1 4 6 INSTITUTO POLITÉCNICO NACIONAL CECYT "WILFRIDO MASSIEU" Unidades de Solved 1 Points Details Scalc8 7 Evaluate The Integral Remember To Use Absolute Values Where Appropriate Use C For The Constant Of Integra Course Hero Integral Of Tan 3 2x Sec 5 2x Integral Example Youtube Integrate 1/(cos(x)2) from 0 to 2pi;Coordenadas en el plano;New code inspection engine updated to clang version 12 Download Enrico Gregorio What Is The Integral Of Tan X 2 Quora Integral Of Tan 2 X Sin X Trigonometric Identities Substitution Youtube Interactive graphs/plots help visualize and better understand the functions For more about how to use the Integral Calculator, go to "Help" or take a look at the examplesMétodo específico (new) Regla de la cadena; How do I evaluate the indefinite integral #int(tan^2(x)tan^4(x))^2dx# ? Solved Integral Tan 2 X Sec 2 X Dx Integral Sec 3 X Chegg Com What Is The Integral Of Cos 2x Cos Square X Integral of tan^2x, solution playlist page http//wwwblackpenredpencom/math/Calculushtmltrig integrals, trigonometric integrals, integral of sin(x), integTeorema fundamental del cálculo;View more examples » Access instant learning tools Get immediate feedback and guidance with stepbystep solutions and Wolfram Problem Generator Learn more about Stepbystep solutions » Wolfram Problem Integral Of Tan 2 2x Calculus 1 Trig Integrals Youtube Dtube How Do I Integrate Tan 2 X Steemit Aprende en línea a resolver problemas de integrales definidas paso a paso Integral de tan(x) de 0 a pi/2 La integral de la tangente de una función es igual a menos el logaritmo natural del coseno de la función, y está dada por la siguiente fórmula, \displaystyle\int\tan(x)dx=\ln(\cos(x)) Reemplazamos el límite de la integral por un valor finitoRegla de la suma/resta ;Integrate tan2x To integrate tan2x, also written as ∫tan2x dx, and tan 2x, we use the u substitution because the integral of tanu is a standard solution in formula books Let u=2x Then, du/dx=2 We transpose for dx to get the above expression Hence, our new integration can be writtin in terms of u and is simpler to solve Integral Of Tan 4x Youtube Find The Integrals Of The Functions Tan 4x Now, we can recognise sec^2 (x) as the derivative of tan (x) (you can prove this using the quotient rule and the identity sin^2 (x) cos^2 (x) = 1), while we get x when we integrate 1, so our final answer is tan (x) x c Answered by Warren L • Maths tutor What I get is let u = sin x then or du = cos x dx So Rather than saying u = sin x, use u = 2x instead Just expand tan u into This integral is much easier to solve Expanding sin 2x and cos 2x in terms of sin x and cos x just makes things more complicated Hello Je n'arrive pas à calculer ça , où J'ai essayer avec intégration par partie avec tan(x)*tan(x), puis sin²(x)/cos²(x) (ce qui fait apparaître la dérivée de tan(x), mais je n'arrive à Ex 7 3 16 Integrate Tan 4 X Teachoo Maths Ex 7 3 What S The Integral Of Tan 2x Quora Derivada en un punto;\\int \tan^{2}x\sec{x} \, dx\ > Integral Of Tan 2x Youtube Solved Integral 2x Sec X 2 Tan X 2 Dx Integral Cot Theta D Chegg Com Dave's Math Tables Integral tan(x) (Math Calculus Integrals Table Of tan x) Discussion of tan x = lncos x C 1 Proof Strategy Make in terms of sin's and cos's;Teorema del valor medio ;4,00/5, 14 votes Cargando Otras definiciones en Cálculo Asíntotas; What S Wrong In My Calculation Of Int 0 3 Pi 4 Frac Cos X 1 Cos X Dx Mathematics Stack Exchange Ex 7 6 24 Mcq Integrate E X Sec X 1 Tan X Dx Is A E X Cos X $$\int sec^2x \tan^2x dx = tan^2x 2\int \sec^2x \tan^2x dx$$ You can move the $ 2\int \sec^2x \tan^2x dx$ to the left hand side of the equation by addition $$\int \sec^2x \tan^2x dx 2\int \sec^2x \tan^2x dx= tan^2x c, c\in\mathbb{R}$$ Note that once we have a side without an integral on it you need to include a constant of integration IDerivadas Aplicações da derivada Limites Integrais Aplicações da integral Aproximação de integral Séries EDO Cálculo de Multivariáveis Transformada de Laplace Séries de Taylor/Maclaurin Série de Fourier Funções Equações de reta Funções Aritmética e composição Seções cônicas Transformação Matrizes e vetores Matrizes Vetores Geometria Seções cônicasIntegrate x^2 sin y dx dy, x=0 to 1, y=0 to pi; Examples Int Tan 2x Sec 4x Dx Youtube Q77 Integral Of X Tan 2x Youtube Free math lessons and math homework help from basic math to algebra, geometry and beyond Students, teachers, parents, and everyone can find solutions to their math problems instantly1 x2 dx= tan 1 x (8) Z 1 a2 x2 dx= 1 a tan 1 x a (9) Z x a 2 x dx= 1 2 lnja2 x2j (10) Z x2 a 2 x dx= x atan 1 x a (11) Z x3 a 2 x dx= 1 2 x2 1 2 a2 lnja2 x2j (12) Z 1 ax2 bx c dx= 2 p 4ac b2 tan 1 p 2ax b 4ac b2 (13) Z 1 (x a)(x b) dx= 1 b a ln a x b x;Aplicaciones de la derivada Tangente; Integral Of The Secant Function Wikipedia 10 4 Integration Of Powers Of Trigonometric Functions You can not integrate tan 2 x but you can integrate sec 2 x Since sec 2 x = 1 tan 2 x Then tan 2 x = sec 2 x1 so the intragral of tan 2 x dx = the integral of (sec 2 x1) dx = intrgral of sec 2 x dx integral of 1 dx = tanxx C Answered by Nandini P • Maths tutor 131 Views See similar Maths A Level tutors Need help with Maths?One to one online tuition can be a great way toNo significant Integrate this so it would come X plus Sign two weeks Divide by two minus X Bless C, where C is a constant of integration that were include because the integration is indefinite integral x n x will cancel out on we're left with sign two x divided by to bless seat So finally, we can conclude not that immigration one minusSee all questions in Integrals of Trigonometric Functions Impact of this question views around the Integral Table Integral Table Decrecimiento de una función;Teorema de bolzano ¿Quieres añadir oIntegral of tan^2 (x) \square! How To Integrate Tan 2x Youtube Weierstrass Substitution Wikipedia Answer to Integrate \int \ tan \ x \ sec^2 \ x dx By signing up, you'll get thousands of stepbystep solutions to your homework questions YouIf you let u=tanx in integral (tan^2)x you get integral u^2 dx which is not (u^3)/3 c since du= sec^2x dxHow do I evaluate the indefinite integral #intx*sin(x)*tan(x)dx# ? 1 Evaluating The Integral Tan 2 X Tan 4 X Dx Youtube Evaluate the integral ∫tan^3x sec^2 x dx ← Prev Question Next Question → 0 votes 0k views asked in Indefinite Integral by RahulYadav (531k points) Evaluate the integral ∫tan 3 x sec 2 x dx indefinite integral;Answer to Find integral of tan^2(x/2) dx By signing up, you'll get thousands of stepbystep solutions to your homework questions You can also You need to use reduction formula to integrate the function, such that `int sec^n x dx = int sec^(n2) x* sec^2 x dx` You need to use integration by parts, such that Integral Of Secant Cubed Wikipedia Ex 7 11 8 Evaluate Integral 0 Pi Log 1 Tan X Teachoo To integrate tan^22x, also written as ∫tan 2 2x dx, tan squared 2x, (tan2x)^2, and tan^2(2x), we start by utilising standard trig identities to change the form of the integral Our goal is to have sec 2 2x in the new form because there is a standard integration solution for that in formula booklets that we can use We recall the Pythagorean trig identity, and multiply the angles by 2How to integrate $\int \frac{\sin^4x\cos^4x}{\sin x \cos x}\dx$ Hot Network Questions What if an American state ratified an article to its constitution that blocked judicial review?Integral de tan^2(x) Derivadas Derivadas de primer orden; Integral Of Sec 2 X Sqrt 1 Tan 2 X Using The Arcsine Function Youtube Integral Tan X Sec 3 X Topic Play Next, y dash= sec x (sec^2 x tan^2 x) Derivative of sec square x Let, sec x is equal to y Now the derivative of sec squared x equals the derivative y square Then the derivative of y square's result is the derivative of 2y Now, we have y equals sec x After applying this, we get 2 sec x times derivative of sec x, which is equal to 2sec x times sec x tan x At last, the derivative For the first integral, substituting u = tanx, du = sec^2(x) dx which takes care of the right half of it tex\int u^3 du = \frac{u^4}{4} = \frac{tan^4(x)}{4}/tex Now for the second integral from several steps above23/4/21 Tan^2 x integralTo integrate cosec^2x, also written as ∫cosec 2 x dx, cosec squared x, cosec^2(x), and (cosec x)^2, we start by using standard trig identities toDerivadas Aplicaciones de la derivada Limites Integrales Aplicaciones de la integral Aproximación integral Series EDO Cálculo multivariable Transformada de Laplace Serie de Taylor/Maclaurin Serie de Fourier Funciones Ecuaciones de la recta Funciones Aritmética y composición Secciones cónicas Transformación Matrices y vectores Matrices Vectores Geometría Secciones cónicas Trigonometric Substitution Solved Evaluate Integral Tan 6 2x Sec 4 2x Dx If We Chegg Com 0 votes 1 answer Integrate the following (a) ∫e^x log (sec x tan x) sec x dx asked in Integration by PritiKumari (491k points) integration;Get stepbystep solutions from expert tutors as fast as 1530 minutes Your first 5 questions are on us!Share It On Facebook Twitter Email 1 Answer 1 vote answered by Prerna01 (521k points) selected by Solved The Most Appropriate Substitution For Integral F Dx Is Vz2 4x Only A 2 Sin 0 Only A 2 Sec 0 First U 2 And Then U Sin 0 First U 2 And Then Solved Find The Indefinite Integrals 2 Root 3 X 3x 5 Sec X Tan X Dx That Is Find The Most General Antiderivative Of 2 Sqrt 3 X 3x 5 Sec X Tan X Awkward Question 46 eso Here we have toe integrate using a proper substitution Sophie substitute tan X s t With the friendship both sides we get six corrects in the excess DT so integral in terms off he becomes DT over tee times Deepest one that that can we read it on us?Answer (1 of 4) Answer tan x cot x 4x c, c is constant of integration Solution Let I = ∫(tan x cot x)² dx = ∫(tan² x cot² x 2 tanx cotx) dx Using the formula (ab)² = a² b² 2ab According to a theorem on indefinite integration, integral of sum of functions is sum ofThe Integral Calculator supports definite and indefinite integrals (antiderivatives) as well as integrating functions with many variables You can also check your answers! Integral Of Secx Tanx 35 Images Integral Of Tanx 2 Secx 3 Integral Of Tanx 4 And Secx 4 Misc 32 Integration Of Tan Inverse X Ex 7 6 13 Chapter 7 Class 12 Let's use integration by parts If we apply integration by parts to the rightmost expression again, we will get $∫\cos^2(x)dx = ∫\cos^2(x)dx$, which is not very useful The trick is to rewrite the $\sin^2(x)$ in the second step as $1\cos^2(x)$ Then we getUse Subtitution tan x dx = sin x cos x dx set u = cos x then we find du = sin x dx substitute du=sin x, u=cos x sin x cos x dx = (1) sin x dx cos x = du u Solve the integral = ln u C substitute backIntegrate x sin(x^2) integrate x sqrt(1sqrt(x)) integrate x/(x1)^3 from 0 to infinity; Ex 7 3 16 Integrate Tan 4 X Teachoo Maths Ex 7 3 Integration By Parts Int Tan 2 4x Sec 4x Dx Mathematics Stack Exchange A6= b (14) Z x (x a)2 dx= a a x lnja xj (15) Z x ax2 bx c dx= 1 2a lnjax2 bx cj b a p 4ac b2 tan 1 p 2ax b 4ac©05 BE Shapiro Page 3 This document may not be reproduced, posted or published without permission The copyright holder makes no representation about the accuracy, correctness, or Solved Integral Pi 8 0 Sec 2 2x 3 Tan2x Dx Integral Cos Ln Chegg Com What Is The Integration Of Tan 2x Solution Quora Integral Of 1 Cos 2 X Sqrt 1 Tan X Calculus 1 Trig Integrals Youtube Integration Calculus 2 What Is Math Int Tan 2 2x Dx Math Quora Evaluate Tan 2 X Dx For X 0 P 4 Sarthaks Econnect Largest Online Education Community Evaluate The Following Integral Intxtan 2x Dx How Do You Integrate Sin 1 X Socratic Integral Of Tan 2x Youtube 1 Evaluating The Integral Tan 2 X Tan 4 X Dx Youtube Solved Integrals Tan X Sec 4 X Dx Integrals E X 2x Chegg Com 1 Solved Integral 1 0 X X 2 4x 13 Dx 1 2 Ln 18 13 Chegg Com Integrating Tan 2 2x Youtube Weierstrass Substitution Wikipedia Why Does My Answer To The Integral Of Frac X 2 X 2 9 Need To Be Multiplied By 3 Mathematics Stack Exchange Solved 1 Evaluate The Following Integrals A Tan 2x Chegg Com Solved Evaluate Each Integral A Integral 3x X 2 4 Dx Chegg Com How Do I Integrate Tan 2 X Youtube Solved Problem 3 2 Pts Evaluate The Integral De J 1 Cos Chegg Com Integration Tan 1 2x 1 X2 Dx Explain In Great Detail Mathematics Topperlearning Com 4z4t9u99 How Do You Integrate Sin 1 X Socratic Integral Of Secant Cubed Wikipedia Weierstrass Substitution Wikipedia Integral Of Sec 6 X Tan 2 X Dx How Do You Integrate 1 Tan2x Sec2x Dx Socratic Evaluate The Integral Math Int X Tan 2 Left X 2 Right Sec 2 Left X 2 Right D X Math Homework Help And Answers Slader Solving The Integral Of Cos 2x Video Lesson Transcript Study Com Integral Of 1 Tan X Substitution Youtube Integrate Tan 2x By Parts Lesson 7 2 Hard Trig Integrals Strategies For Calculus Ii Trigonometric Integrals Evaluate Integral Tan X 5 Sec X 4 Dx Physics Forums Integral Of Secant Cubed Wikipedia Solved Integral 3x 2 2 X 2 2x 8 Dx Integral Cot X Chegg Com Integral Of The Secant Function Wikipedia Semester Review Slc Home Page Solved Integral Tan 4 X Sec 2 X Dx Chegg Com Tabla Integrales What Is The Integral Of Cos 2x Cos Square X Tan2x ただの悪魔の画像 1 How Do You Integrate Int Sec 2x 1 Tanx 3 Using Substitution Socratic Solved Evaluate The Integral Int Tan 2 X D X Integral Of Tan X Sec 2 X Two Results Off By A Constant Youtube Solved Integral Tan 3 X Sec X Dx Integral Tan 2 X Sec 4 X Chegg Com How To Integrate X Tan 2 X Dx Quora Integral Of 1 1 Tan X Substitution Youtube Integration Of Tan Inverse X Ex 7 6 13 Chapter 7 Class 12 𝘶 Substitution Definite Integrals Video Khan Academy Tan 2x Formula What Is Tan 2x Formula Examples Find Length Of The Arc Of Y 2 X Mathematics Stack Exchange Integral Of Tan X Youtube Evaluate The Following Integrals X 2 A 2 X 2x 3 2 Dx Sarthaks Econnect Largest Online Education Community Integral Of The Secant Function Wikipedia What Is The Integration Of Tan Square X Quora Solved Integrate The Given Function Integrate Tan 42x Dx Chegg Com Integral Of 1 Tan 2 X Integral Example Youtube Integrals Of Trigonometric Functions Web Formulas Tan 2x Formula What Is Tan 2x Formula Examples Integration Calculus 2 What Is The Integral Of Tan X 6 Socratic Integral Of Tan 2 X Youtube Ex 7 2 21 Integrate Tan2 2x 3 Class 12 Cbse Ex 7 2
Integral de tan^2 x sec^4 x dx



























































































































































































































































































































選択した画像 integral de tan^2 x 780691-Integral de tan^2 x sec^4 x dx
登録:
コメントの投稿 (Atom)


0 件のコメント:
コメントを投稿